坪山新闻网
深圳新闻
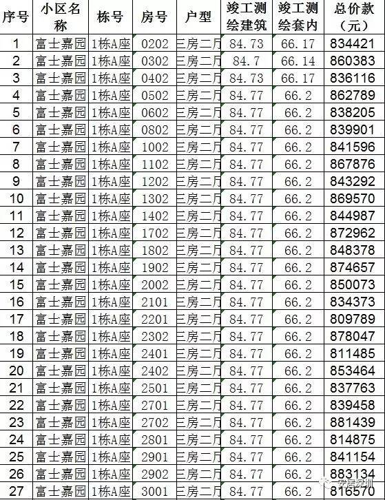
最新,每套房价+住宅配套出来了,945套安居房申购后续
来源:安居深圳
发布日期:2017-07-05 07:18
坪山新闻网
分享:
房源价格表
上一页
1
2
3
4
5
6
7
8
9
10
11
12
13
14
15
16
17
18
19
20
21
22
23
24
25
26
27
28
29
30
31
32
下一页
全文阅读
编辑:郑则彬
上一条:
女员工穿短裙上班奖300元、上厕所打报告…个个让深圳人震惊
下一条:
宝安面向全国引进3名优秀校长 最高可获300万元奖励!
返回列表